Free value & place value worksheets with answer key. No login or account needed. From placing commas to identifying place value, visual or word problems we've got you covered. A grading column and quick grade scale maker grading a breeze and a modified pages help with lower level learners or when just introducing a topic. Great for teachers or for homeschool.
Browse Sheets By Problem Type
×

×
Description:
"This worksheet is designed to aid children in mastering the concept of inserting commas in a math context. Comprised of 20 problems, it provides various examples that encourage learners to understand and apply the correct comma placements. The flexible format allows for customization, making it suitable for conversion into flashcards or incorporation into distance learning curriculums. Its content serves as an essential tool for enhancing children's numerical literacy."

×
Student Goals:
Understand Comma Usage in NumbersAfter accomplishing this worksheet, students will be able to proficiently grasp the concept of comma usage in large numbers. They will understand where to appropriately insert commas in order to accurately separate digits into thousands, millions, billions, and beyond. This skill will greatly aid in numeral comprehension, allowing them to easily interpret and work with complex numbers within their mathematical problem solving.Enhance Numeracy SkillsThe completion of the worksheet equips students with improved numeracy skills. They will hone their ability to quickly identify, understand, and use number units from ones to billions. This includes understanding the value of numbers in various positions places and their significance. The activity fortifies the student's mathematical foundation, a skill that cuts across all mathematical disciplines.Increase Mathematical AccuracyBy learning how to insert commas in numbers correctly, students increase their accuracy in mathematics, particularly in more complex operations involving larger numbers. Misplacing a comma can lead to significant errors in calculations; therefore, mastering this skill plays a vital role in overall mathematical accuracy.Foster Attention to DetailStudents will develop an attention to detail, an important skill not only in math but across all academic disciplines. Each incorrect comma placement can drastically change the value of a number, so students must pay close attention to each digit's proper placement. This focus on detail can then be implemented in other areas of study to improve overall academic performance.Boost Confidence in MathUpon completing the worksheet, students will experience a boost in their confidence in their mathematical abilities. Mastery of basic skills, like comma placement in large numbers, provides a sense of competence and readiness to tackle more difficult math problems. This boost in self-assuredness can lead to a more positive outlook and approach towards the subject.
knbt1

×
Description:
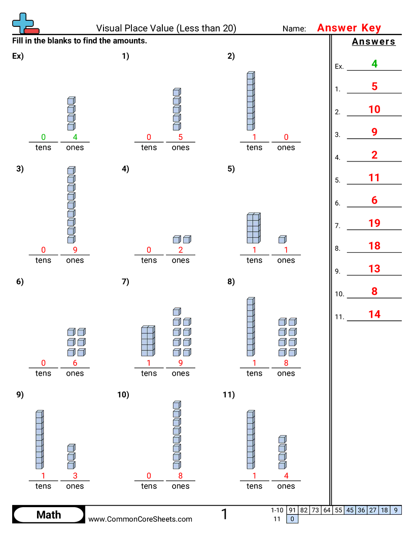
"This worksheet is designed to enhance students' understanding of the concept of visual place value for numbers less than 20. It provides 11 problems, focusing on tens and ones. It is customizable to meet individual learning styles and needs, and can be converted into flashcards. This makes it suitable for distance learning, supporting self-paced practice in math, and reinforcing number sense and numeracy skills."

×
Student Goals:
Understanding place valueAfter completing this worksheet, students should be able to have a deeper understanding of the concept of place value. They will be capable of distinguishing between the tens and ones place, which is a fundamental knowledge in basic mathematics.Ability to read and write numbersThrough engaging with numerous real-world examples, children will learn to read and write numbers within 20. They will be able to accurately identify the number of tens and ones in a two-digit number, an essential skill for further development in their numeracy journey.Increased number senseThis worksheet will aid in enhancing students' number sense which refers to a general understanding of number and operations, as well as the ability to use this understanding to make mathematical judgments. The children will start to see relationships between numbers, thereby fostering a more intuitive understanding of mathematical operations.Boosted confidenceAs they work through the problems and correctly determine the tens and ones in numbers, students’ overall confidence in handling numbers will be boosted. Achieving a sense of accomplishment through this math worksheet, they'll likely grow to be more comfortable when dealing with more complex numerical problems.Practical application of math conceptsAn important goal with this set of problems is to help children understand the applications of place values in everyday routine. They will be able to apply this knowledge in various practical contexts, such as telling time, counting money, and measuring objects, empowering them to see the relevance and value of math in daily life.
4nbt1

×
Description:
"This worksheet is designed to reinforce key math concepts, focusing on the utilization of place value to solve numerical problems. It features 20 unique problems, featuring multiplication and division exercises that are easy to comprehend. Ideal for distance learning, this versatile resource can be customized to suit individual learner needs and can be conveniently converted into flash cards for interactive, dynamic, and fun education."

×
Student Goals:
Understanding of Place Value ConceptsUpon completion of this worksheet, students should gain a strong understanding of place value concepts. They should be able to identify the value of different digits in a number based on their positions and comprehend how this influences the overall value of the number. This skill is essential in both basic and advanced mathematical calculations.Mastery in Basic Mathematical OperationsThe worksheet provides a thorough practice in basic mathematical operations such as multiplication and division, which are foundational skills in the study of mathematics. After working through the problems, students should feel confident performing these operations smoothly and accurately, thus reinforcing their number sense.Ability to Solve Real-World ProblemsBy learning to manipulate place values and perform basic mathematical operations, students are well equipped to solve real-world problems. This understanding translates into abilities beyond the math class, enabling students to draw on their skills in a real-world context. They should be able to use them in situations that require mathematical calculation such as measurement, money, and problem-solving tasks.Development of Critical Thinking and Problem-Solving SkillsThrough working on the different problems in the worksheet, students are challenged to think critically about how to approach a problem and select a suitable strategy for solving it. They should be able to apply logical reasoning and critical thinking skills when faced with new problem situations.Improvement in Speed and AccuracyAfter completing the worksheet, students should demonstrate an improvement in speed and accuracy when doing mathematical operations. This improvement comes as a result of repeated practice provided by the twenty problems in the worksheet. It highlights a student’s fluency in dealing with numbers and mathematical concepts at this educational level.
5nbt1

×
Description:
"This worksheet is designed to help students understand number place values in decimals and whole numbers, featuring 13 tailored math problems. By comparing the values of same digits in different places, children will reinforce their grasp on the concept. Versatile in nature, it can be personalized, made into flashcards or incorporated into remote learning. A valuable mathematical tool for strengthening foundational numeracy skills."

×
Student Goals:
Understanding of Place Value ConceptsAfter completing the worksheet, students should have a solid understanding of the key concept of digit place values. They should be able to identify the value of a digit based on its position in a number and understand that the same digit can represent different quantities depending on its placement in the number. This essential mathematical concept forms the basis for more complex operations and number manipulations. Students should be able to apply this understanding to decode numbers and recognize patterns in place value.Critical Thinking DevelopmentThis worksheet is designed to promote critical thinking skills. Upon its completion, students should be able to draw conclusions from problems and use their understanding of place values to compare digits in different positions. They should show the ability to independently analyze and manipulate numbers, demonstrating proficiency in logical thinking and problem-solving. The thinking process that this worksheet encourages will aid students in advancing their mathematical reasoning skills.Improved Accuracy and PrecisionThe practice problems within this worksheet will guide students to improve their accuracy and precision in dealing with numbers. They should be able to quickly identify the place value of digits in various positions, reducing the chances of common errors in arithmetic operations, number comparisons, and number representations. This enhanced accuracy and precision will contribute to a higher performance in complex calculations and mathematical processes.Increase in Confidence and ProficiencyBy tackling these practice problems, a boost in student confidence will be evident. As they begin to work through mathematical problems effortlessly, their confidence in handling numbers, even large ones, will increase. This proficiency will lead to an improvement in their overall mathematical abilities, laying a foundation for the introduction of more complex concepts in the future.Comprehension of Mathematical LanguageWorking through the exercises in the worksheet will allow students to become familiar with the mathematical language and terminologies associated with place values. After completion, they should be able to understand, interpret, and use mathematical language and symbols correctly. This will ease communication of mathematical ideas and understanding of texts or instruction that utilizes this language in the classroom.
4nbt1

×
Description:
"This worksheet is designed to teach children about whole number digit place values in an engaging way. Covering significant concepts in math, it assists learners in examining and comparing the value of digits in different places. It includes 13 problems, ideal for mastering the topic. With customizable features, it can be transformed into flash cards for a more interactive learning experience. It's optimal for distance learning environments, enhancing independent study skills."

×
Student Goals:
Understanding Place ValueStudents will improve their comprehension of whole number digit place values. They will understand the concepts of ones place, tens place, hundreds place, and even up to the ten thousands place. This skill is crucial for their mathematical foundation, as our number system heavily relies on the base-10 setup. They will no longer view numbers as a simple unit but will start to appreciate the individual value of each digit depending on its placement.Enhancing Computational SkillsStudents will be able to accomplish more complex computational tasks. Knowing how place values affect the overall value of a number helps learners approach problems requiring addition, subtraction, multiplication, or division of large whole numbers with more confidence. This comprehension also paves the way for understanding decimal place values in the future.Critical Thinking and Problem SolvingBy tackling the worksheet's problems, students can improve their logical reasoning. They will learn to break down complex problems into manageable parts and identify patterns in number sequences. The ability to decipher and answer such problems develops their critical thinking and problem-solving abilities, which are universally applicable skills.Preparation for Advanced Mathematical ConceptsOnce students master place values, they are on a step towards understanding more advanced mathematical concepts like algebra, trigonometry, and calculus at later stages of their academic journey. Hence, handling such worksheets prepares them for the more advanced mathematics they will be encountering down the line.Building ConfidenceSuccessfully completing this worksheet allows students to build confidence in their mathematics abilities. As they correctly answer the problems, they will gain confidence, enhancing their overall attitude towards this subject matter. They will be encouraged and feel enthusiastic about tackling more complex math tasks in the future.

×
Description:
"This worksheet is designed to teach children the concept of identifying value and place value in numbers. Featuring 20 thought-provoking problems, it asks students to find the position or value of digits in diverse figures. Perfect for distance learning, this adaptable resource can be customized to suit individual needs and converted into flashcards for effective study."

×
Student Goals:
Understanding Concept of Value & Place ValueAfter completing the worksheet, students should have a strong grasp on the concept of value and place value in mathematics. They should be able to correctly identify the position or 'place' of a specific digit in large numbers, recognizing units, tens, hundreds, thousands, and up to hundred-thousands place values.Problem-solving SkillsStudents should be able to use their understanding of the topic to solve related mathematical problems efficiently. They should confidently answer questions about place values, demonstrating improved problem-solving abilities. Their analytical thinking and logical reasoning skills should also be enhanced.Application of KnowledgeStudents should be able to apply their understanding of place and value in real-world contexts. They should be able to interpret numbers in a variety of scenarios such as reading out large numbers confidently or understanding the value of items in a store when shopping. Such experiences help students to connect mathematical knowledge to everyday life and appreciate its relevance.Self-confidence in MathBy successfully completing the worksheet, students' confidence in tackling mathematical problems should be boosted. This renewed self-confidence can foster a more positive attitude towards math, reducing any existing mathematics anxiety and fostering a desire for continued learning in this area.Preparation for Higher-Level MathThe comprehension of place value is fundamental to a child's success in mathematics. It lays the foundation for learning more complex mathematical concepts in later grades. Upon completion of the worksheet, the student should be better prepared for tackling higher-level math concepts, including various types of arithmetic operations, number manipulation, and algebra.

×
Description:
"This worksheet is designed to help children explore and understand the concept of place value in mathematics. It presents 10 separate problems that challenge students to identify patterns and relationships between digits in various place values. Ideal for distance learning, this customizable worksheet can also be converted into flashcards for an engaging, hands-on learning experience."

×
Student Goals:
Understand Place ValuesAfter completing the worksheet, students will have a strong understanding of the concept of place values in mathematics. They will comprehend the value of digit based on its place in a number. This will serve as a crucial base for learning more complex mathematical concepts.Analytical ThinkingThe problems in the worksheet are designed to promote analytical thinking. From identifying the right digits to relating them with their multiples, students need to analyze each problem in detail. This practice will enhance their analytical skills and problem-solving abilities, which can be employed in different facets of learning.Grasping Mathematical RelationshipsPost completion of this worksheet, students will be able to identify and understand the value-based relationships between different digits in a multi-digit number. They might be able to see patterns and connections between numbers that they hadn't seen before, enhancing their number sense.Boost ConfidenceSolving these problems and getting them right will give students the confidence needed to tackle more challenging mathematical problems. Each correct answer is a step towards developing a positive attitude towards the subject.Detail OrientedStudents will learn to be more detail-oriented. They will grasp the importance of reading the problem statement clearly and understanding the requirements. This attention to detail can extend beyond math to other areas of learning.Applying Mathematical ConceptsLastly, after working through this worksheet, students will not only understand the theoretical aspects of place values but also its practical applications. The tasks allow them to actively apply the mathematical concepts they have learned, helping to reinforce their understanding and ability to use these skills in real-world situations.

×
Description:
"This worksheet is designed to help children understand the concept of place value in mathematics. It features 12 engaging problems, each examining various positions of digits in different numbers. It's a versatile learning tool that can be customized according to individual learning styles and could be converted into flash cards. Perfect for distance learning, this worksheet helps improve numerical literacy in a fun, interactive way."

×
Student Goals:
Comprehend the concept of Place ValueAfter completing the worksheet, students will be able to understand the fundamental concept of place value and how it is used in mathematics. They will be aware that in the decimal numbering system, the position of a digit is used to indicate its value. The understanding of place value will serve as a building block for students, helping them to grasp more complex mathematical topics in the future.Identify the Place Value of a DigitUpon the successful conclusion of the worksheet, students will gain the ability to identify the place value of any given digit in a number. By studying various examples, they will be able to confidently distinguish whether a digit signifies ones, tens, hundreds, thousands, or any other place values. This skill will be beneficial for them in executing arithmetic operations such as addition, subtraction, multiplication, and division efficiently.Develop Logical Thinking and Probleme-solving SkillsWorking their way through the worksheet will aid students in enhancing their logical thought process. They will learn to look at the problem, analyze what is asked, and then apply their knowledge of place value to derive at the solution. This act of dissecting issues and formulating strategies to solve them will nurture their ability to critically think and solve other mathematical, or even day-to-day, issues efficiently.Apply Place Value Tactics in Everyday LifeWith the knowledge obtained from the worksheet, students will not only be able to apply the concept of place value in their academic curriculum but also in their everyday life. They could use it in money management, understanding distances, dealing with data storage dimensions, or even while reading large numbers like populations or digital space.Boost Confidence and Enthusiasm for Learning MathematicsAs students tackle each problem in the worksheet and find the correct answers, they will gain a sense of achievement, which in turn boosts their confidence. This could eliminate any anxiety they might have towards the subject of mathematics and could foster an enthusiasm for learning more in-depth concepts in the future.

×
Description:
"This worksheet is designed to help children grasp the concept of place value on a number line within 100. From identifying the ones place to the hundred thousands place, this 20-problem worksheet hones crucial math skills. Perfect for distance learning, the worksheet can be customized to your child's ability level and can even be converted into flash cards for further practice."

×
Student Goals:
Understanding Number PlacesUpon completing the worksheet, students should have a strong understanding of the value and position of digits in different number places from ones to hundred thousands. This understanding is crucial as it forms the foundation for various topics in math, including addition, subtraction, multiplication, and division.Developing Problem-Solving SkillsThe worksheet contains various problems which require students to implement a problem-solving approach. As they analyze different numbers to identify specific number places, they are developing and improving their problem-solving skills, which will significantly benefit them in life beyond academics.Improving Numeracy SkillsAs students engage with this worksheet, they are improving their numeracy skills. They are being trained on how to read and write large numbers, apply basic math operations, and recognize number patterns. These skills are beneficial for everyday tasks and other STEM-related paths.Strengthening Logical ThinkingBy completing the problems given in the worksheet, students are required to apply logical thinking. Understanding the logic behind the value and position of each digit in a number is a concept that calls for logical reasoning. This will ultimately improve the student's ability to think logically, a skill that is important for various aspects of life.Boosting ConfidenceSuccessfully completing all the problems given in the worksheet can help boost the student's confidence. Tackling complex numbers and being able to correctly identify the value at each number place is an achievement that can encourage the student to take on more complex math topics in the future with confidence and a positive attitude.Acquiring Knowledge Retention SkillsThe completion of this worksheet requires the students to understand, apply, and remember the concept of number places. Through this, they will improve their ability to absorb and recall information, which is a vital skill in the learning process across all subjects and levels of education.

×
Description:
"This worksheet is designed to enhance children's understanding of number placement and value, featuring 14 intuitive math problems. It offers fun and engaging exercises where children manipulate given numbers to form smaller, larger, or specific number values. Moreover, it can be easily customized, transforming into handy flashcards, or seamlessly integrated into distance learning curriculums. A perfect tool for making math enjoyable and beneficial for kids' cognitive development."

×
Student Goals:
Understanding Place ValuesUpon completion of the worksheet, students should garner a strengthened understanding of place values. They should have deeper knowledge on the worth of digits in numbers and their respective positions. Identifying the tens, hundreds, and units places should become easier after finishing the task, enabling them to build numbers with better precision and recognition.Creating Numbers as Per ConditionsThe students will develop the ability to construct larger or smaller numbers based on the guidelines given. They should know which numbers will result in a higher or lower value when used in a particular place value. This skill will not only aid them in solving arithmetic problems but also help them become proficient at number manipulations.Critical and Logical ThinkingAs the problems in the worksheet necessitate logical reasoning, students will enhance their critical thinking skills. They should be adept at determining all feasible combinations of the given values and choosing the appropriate one as per the given directive. Their problem-solving abilities will thus be heightened.Handling Numerical DataThe worksheet will expose the students to the process of handling numerical data efficiently. By attempting to form numbers from a given set of values, they will learn to optimally sort and utilize numbers. This understanding will be beneficial for tackling more complex numerical data in upcoming curricula.Increasing Math FluencyThe consistent practice provided by the worksheet aims at increasing the child's fluency in math. As students form various numbers using the same set of values, their comfort with numbers is automatically enhanced. They can begin to see patterns and understand numerical relationships, amplifying their overall mathematical proficiency.Fostering ConfidenceSuccessfully completing the worksheet will boost the students' self-assurance. With each correctly solved problem, their belief in their mathematical abilities will be reinforced. This confidence will encourage them to tackle more complex mathematical issues, fostering a love for the subject and dedication to further learning.

×
Description:
"This worksheet is designed to facilitate math learning in children, focusing on converting place values. Containing 20 problem sets, it teaches students to understand hundreds, tens and ones. With problems like converting hundreds to thousands or tens to ones, the worksheet is versatile, customizable, and can conveniently be converted into flashcards. It's especially ideal for distance learning, thereby providing flexibility in education."

×
Student Goals:
Understanding of Place ValuesAfter completing the worksheet, students should demonstrate a strong comprehension of the concept of place values in mathematics. They are expected to understand the relationship between ones, tens, hundreds, and thousands and be able to convert between them effectively. Proper conversion of place values is a fundamental skill in numeracy, and successful completion of this worksheet signifies that learners can manipulate and understand the worth of digits in different positions in a number.Mastery of Basic ArithmeticThe ability to convert between different place values is an application of basic arithmetic skills. As such, by successfully completing this worksheet, learners should demonstrate an understanding of simple addition, subtraction, multiplication, and division operations. It’s a sign they can perform arithmetic manipulations quickly and accurately, an essential skill in progressing to more complex mathematical disciplines.Problem-Solving SkillsPlace value conversions require students to think critically and apply their mathematical knowledge pragmatically. As such, completion of the worksheet should signify that students have developed their problem-solving capabilities, which are not only vital in math but in many other aspects of learning. Through solving these problems, students can enhance their ability to approach problems logically, break them down, and develop strategic solutions.Competence in Mathematical Language UsageSuccessfully completing the worksheet means that students can meaningfully engage with the language of mathematics, particularly place values. They should be able to comprehend and accurately use terms such as ones, tens, hundreds, and thousands. This linguistic proficiency is fundamental in communicating mathematical ideas, understanding mathematical text, and connecting mathematical concepts.Confidence in Handling NumbersFinally, mastery of place value conversions should breed confidence in students' ability to handle numbers, and the worksheet is an excellent platform to practice and build this confidence. Through repetitive practice, learners will start believing in their abilities to manipulate numbers, laying the groundwork for improved performance in higher level math.

×
Description:
"This worksheet is designed to help children understand the concept of digit place value in mathematics. It contains 12 problems that challenge students to identify the value of a digit in various numerical spaces. Suitable for distance learning, the worksheet can be customized to suit different learning levels or converted into flash cards for interactive study."

×
Student Goals:
Understanding the Concept of Place ValuesAfter completing this worksheet, students should have a solid understanding of the concept of place values in digits. They will recognize the significance of a digit's position in numeration and its corresponding value, whether it be ones, tens, hundreds, thousands, or ten thousands.Improved Problem-Solving SkillsThe worksheet's structured problems will empower students to enhance their problem-solving skills. They will learn to deduce appropriate solutions by gauging the value of digits in a given set of numbers. This hands-on approach will bolster their confidence and aptitude in grappling with mathematical challenges.Interpreting Mathematical InformationBy successfully completing the worksheet, students are also expected to improve their skills in interpreting mathematical information. With the problem set provided, they will be more adept at parsing and processing numerical data.Critical Thinking and Strategic PlanningThe intricacy of place values requires not just understanding, but also planned execution. Through working out these problems, students will enhance their abilities to strategize and think critically, crucial skills not only for mathematics, but for problem solving in real life scenarios as well.Building a Mathematical FoundationThe focus on place values builds an important foundation for future mathematical subjects. Concepts like decimal system and operations involving large numbers become easier for students who have mastered place value. Therefore, students who complete this worksheet are expected to have a broader and deeper mathematical foundation.Sense of AchievementLastly, successfully solving these problems will trace a sense of achievement within the students – a key factor in fostering a love for learning and maintaining a positive relationship with what can often seem like daunting mathematical concepts. In completing this worksheet, students will have not only improved their mathematical skills, but grown in their love for learning as well.

×
Description:
"This worksheet is designed to enhance children's mathematical skills, specifically their understanding of number values and place values. Covering units from ones to millions, the 20-problem practice set can be customized to fit each learning standard. Perfect for distance learning, these versatile exercises can also be converted into handy flashcards, making numeracy development enjoyable and interactive."

×
Student Goals:
Mastery of Place ValuesStudents should achieve a comprehensive understanding of number place values, from ones up through millions. They will be able to identify and understand each place value and its importance in the context of a whole number. This specialized knowledge will serve as the foundation for advanced math skills including rounding, estimation, and addition and subtraction of larger numbers.Critical Thinking SkillsThrough challenging problem-solving exercises, students will enhance their critical thinking skills. They will learn to analyze problems, identify relevant information, and execute the correct mathematical operation necessary to solve for place values. These skills are not only essential in math but can be applied across various subjects and real-life scenarios.Increased Number FluencyStudents will improve their number fluency by repetitively working with different digit numbers and their particular place values. This increased fluency allows for greater ease in mental math, nimbleness with numbers, and overall confidence in handling various numerical challenges, setting them up for success in more advanced math studies.Introductory Skills for Advanced MathematicsUnderstanding place values is a key foundational concept that underlies multiple other mathematical domains such as decimals, fractions, and algebra. By mastering place values, students are set on a good path towards ensuing they have the prerequisite skills to handle more complex mathematical concepts later on in their educational journey.Preparation for Real-World ApplicationsAfter mastering the identification of place values, students will be better prepared to handle real-world applications of math. This includes everything from understanding and analyzing large amounts of data in various industries to managing personal finances. Grasping the concept of place values is a small but essential step in becoming proficient in these practical applications of math.
4nbt1

×
Description:
This worksheet is designed to help children understand and apply the concept of place value in numbers over ten. It contains 12 math problems, challenging kids to decode numbers ranging from hundreds to ten-thousands. Perfect for distance learning, this educational resource can be customized to fit individual learning pace and can be easily converted into flash cards for revision. Enhancing mathematical skills has never been more engaging and easy!

×
Student Goals:
Understanding Place ValuesAfter completing this worksheet, students should have a sound understanding of the importance and application of place values in numerical interpretation. They will strengthen their ability to break down large numbers into place values, allowing them to visually see the value of each digit based on its position. This fundamental knowledge in mathematics can be extrapolated to larger or even decimal numbers. Once mastered, the concept can help students represent, compare and order large numbers with ease.Performing Calculations with ConfidenceThis exercise not only develops a strong foundation in place values, but also empowers students to confidently perform simple to complex calculations with large numbers. Whether it’s addition, subtraction, multiplication or division, understanding the values of different positions in a number streamlines the computation process, reducing potential errors and enhancing problem-solving speed.Improving Logical ThinkingAs students practice expressing values with these place values, they will also improve in their mental and logical thinking. Mathematically interpreting a number in terms of its place values stimulates abstract thought processes, contributing to the development of logic and reason. This improvement can, in turn, boost performance in other STEM fields and subjects that require strategic thinking.Enhancing Number SenseThe successful completion of this worksheet enhances students' number sense which is a critical component in mathematical comprehension. Understanding how the value of a digit changes based on its position in a number helps students develop an intuition about the relative ‘size’ or 'value' of numbers. This aids in numerical operations, estimation and ability to comprehend statistical data.Boosting Mathematical VocabularyBy working on this worksheet, students will encounter mathematical terms such as ones, tens, hundreds, thousands, and ten thousands. This will expand their mathematical vocabulary, helping them articulate mathematical problems and solutions better. Additionally, it prepares them for more complex mathematical learning and numeracy skills in their future grades.
NumberLines & Value Mats
Link
2md6

×
Description:
"This worksheet is designed to enhance children's numerical aptitude by filling in number lines. Covering 10 engaging math problems, it aids in developing their understanding of numerical sequences and order. Tailored to fit distinct learning methods, the worksheet can be customized to individuals, transformed into interactive flashcards, or utilized in distance learning platforms, providing versatile options in bolstering crucial math skills."

×
Student Goals:
Enhancement of Number SenseUpon completion of the worksheet, students will have significantly enhanced their number sense, building a stronger foundation for handling various mathematical tasks. They will better understand and appreciate the relationship between numbers, which is essential in their progress towards learning more advanced mathematical concepts.Specific Number Placement SkillsThe worksheet provides an opportunity for students to learn and practice number placement within a number sequence. This skill is crucial as it taps into their logical thinking abilities and influences how they approach problem-solving tasks. The students should be able to competently place missing numbers in their correct positions in a number sequence after completing the worksheet.Number Sequencing MasteryStudents will be able to comprehend and implement the skill of number sequencing effectively. This is a fundamental component of math and further influences their capability to deal with mathematical operations like addition and subtraction. The worksheet challenges their mental representation of numbers, in effect, boosting sequence understanding.Improvement in Counting SkillsWorking on the worksheet enables students to practice and improve their counting skills. Whether they are counting forwards or backwards, their flexibility in counting is tested, developed, and perfected. This ability is not only essential in math but also in their day-to-day activities.Boosted Concentration LevelsSolving the number line problems on the worksheet requires intense concentration and attention to detail. Thus, students will be able to sharpen their focus and attention span. This will prove beneficial in all areas of their academic journey and beyond.Acceleration of Math SpeedSpeed and accuracy are significant components of math competence. As the students fill in the number lines, they simultaneously work on their speed. The repetitive nature of the worksheet should help students accomplish mathematical tasks more quickly over time.Enhancement of Cognitive SkillsCompleting the worksheet exercises the students' brains, therefore, enhances their cognitive skills, especially in terms of problem-solving, reasoning, and logical thinking. The learning process is beneficial to their overall cognitive development.Provision of a Learning ReferenceThe completed worksheet serves as a learning reference. By referring to their worksheet, students will be able to reinforce what they've learned and gain better mastery over number lines and the respective number placements.

×
Description:
"This worksheet is designed to teach children about place values in math using a comprehensive mat format. It provides ten engaging problems focused on thousands, hundreds, tens, and ones. With clear examples, it's perfect for fostering essential numeracy skills. Customizable to suit each student’s level, it can also be converted to flash cards facilitating class interaction or adapted for distance learning, ensuring math education remains interactive and fun."

×
Student Goals:
Understanding Place ValueAfter completing this worksheet, students should be able to demonstrate a clear understanding of place value within a number. They will know how to identify the thousands, hundreds, tens and ones places, reinforcing foundational concepts in mathematics.Analytical SkillsThis worksheet will also allow students to develop strong analytical skills. By interpreting dots in each place value column, they’ll understand that the position of a digit in a number determines its value. This activity is designed to make them think critically and analytically.Problem SolvingSolving problems with varying levels of complexity will enhance students' problem-solving abilities. By attempting to solve different problems, they will gain experience in addressing challenges, which is a vital skill for more advanced math topics.Confidence BuildingUpon successfully answering the questions correctly, students' mathematical confidence will improve. They will learn that they can tackle and solve math problems, which can motivate them to tackle more complex tasks in the future, reducing any fear or apprehension associated with math.Accuracy and Attention to DetailThe process of counting dots and associating them with the correct place value requires accuracy and careful attention to detail. Therefore, this worksheet will aid in developing these valuable skills which are beneficial not just in math but also in other subjects.Preparation for Advanced TopicsMastering the concept of place value is fundamental as it serves as the base for more advanced mathematical concepts such as arithmetic operations on larger numbers, rounding numbers, etc. With solid knowledge and understanding of place values, students will be well-prepared for these advanced topics.Numeracy SkillsBy working on this worksheet, students will significantly enhance their numeracy skills. By analyzing and interpreting the dots representing different numerical values, they would have actively engaged with numbers, and as such, their overall ability to work with and understand numbers will be improved.

×
Description:
"This worksheet is designed to enhance children's mathematical skills by reading nontraditional number lines. Consisting of 10 interactive problems, it boosts numerical understanding with instances frequently differing from regular intervals. Adaptable to individual needs, it can be customized, converted into flashcards for easy recall, or integrated into distance learning modules, providing flexible learning solutions for diverse educational needs."

×
Student Goals:
Understanding Nontraditional Number LinesAfter successfully completing this worksheet, students should have a strong grasp of nontraditional number lines. These number lines do not follow typical progression by tens or hundreds, but instead use varying increments. By working with these nonstandard units, students build understanding that number sequences do not always advance in common steps.Numerical Pattern RecognitionThis worksheet also challenges students to identify and understand numerical patterns. The patterns present in these exercises orient around various ascending number sequences. Each completed problem strengthens pattern recognition capability -- a vital skill in both mathematics and other problem-solving scenarios.Improved Number SenseBy working through this worksheet, students will enhance their number sense. Number sense involves developing flexibility, intuition, and understanding regarding numbers and operations. This encompasses appreciating how numbers relate to one another, recognizing benchmarks, and understanding the magnitude of numbers. These are important reactionary skills for all further mathematical study.Problem-Solving SkillsCompletion of this worksheet indicates a student's ability to tackle problems independently. It encourages strategic thinking, decision-making, and resilience in overcoming challenges. This empowering experience of self-reliance helps students approach other areas of their education and life with increased confidence.Predicting and ExtrapolatingFinally, students who complete this worksheet will have enhanced their ability to predict and extrapolate. By recognizing and understanding the numerical patterns on these nontraditional number lines, students can guess the positions of other numbers or estimate the numerical value at a given position. This skill is widely applicable in many areas of mathematics as well as practical day-to-day scenarios.

×
Description:
"This worksheet is designed to enhance children's understanding of mathematical value plotting on a number line. It offers 10 problem-solving exercises, framed around marking numerical values ranging from 0 to 20. Adaptable in nature, this resource can be customized to accommodate individual learning needs. It can also be transformed into flashcards to provide a more interactive experience. Suitable for distance learning, it employs a clear, easy-to-follow format that promotes effective online instruction."

×
Student Goals:
Develop a Stronger Understanding of Number PlacementUpon completion of this worksheet, students will have gained a stronger understanding of number placement on a number line. They should have improved their spatial perception of numbers and how they fit into the range from 0 to 20. This practical perception will not only assist them in gauging the value of numbers but also the distance between numbers, thus leading to a stronger foundation in mathematics.Improved Problem-Solving SkillsAs the worksheet presents problems requiring students to mark the given values on a number line, students should develop improved problem-solving skills. Deciding where on the number line a particular value fits is a cognitive exercise that should enhance their reasoning and analytical skills. They may also concurrently develop patience and perseverance in the process as they work through the entire set of problems.Enhancement of Math VocabularyWorking through this worksheet will expose students to terms and symbols regularly used in mathematics. They will improve their understanding of such vocabulary and how it is applied. Familiarity with math language is crucial in laying a solid foundation for further mathematical studies.Build Confidence In Numerical AbilitiesSuccessfully completing this worksheet would build students' confidence in their numerical capabilities. By marking values on a number line correctly, they will experienced success and gain confidence in their abilities. This boost in self-assurance will in turn motivate them to pursue more complex mathematical topics.Preparation for More Advance Mathematical ConceptsLastly, students will be better prepared for more advanced mathematical concepts. A solid understanding of number placement on a number line is instrumental in understanding concepts such as addition, subtraction, multiplication and division. This worksheet therefore serves as a stepping stone to more advanced mathematical operations.

×
Description:
"This worksheet is designed to enhance children's understanding of numerical value within the range of 0 to 100, by marking positions on a number line. It includes 10 distinct math problems featuring numbers like 77, 92, 72, and others. Suited for customization and conversion into flashcards, it also provides an effective tool for distance learning. This versatile resource effortlessly adapts to diverse teaching styles and learning preferences."

×
Student Goals:
Understanding Number ValueAfter completing this worksheet, students should gain an understanding of the value of numbers within 100. Decomposing numbers will no longer be a challenge as this exercise provides a holistic view of how numbers are situated on a number line. They will also develop an understanding of the distance between number values, creating a foundation for subtraction and addition tasks.Boosting Math ConfidenceBy learning to mark values on a number line, students can boost their confidence in handling numbers. This will be beneficial in dealing with further math concepts such as fractions or decimals that involve the understanding of number positioning. This boost in confidence can help improve mathematical proficiency and performance in other areas.Enhancing PrecisionCompletion of this worksheet enables children to enhance their precision with respect to number placement. By plotting numerical values on a number line, they are trained to pay attention to details, thereby improving their precision as well as their mathematical abilities.Improving Pattern Recognition AbilitiesThis worksheet encourages students to recognize and understand patterns in numbers. By frequently practicing number placement, they will start to notice patterns, aiding in their number-sense development. Recognizing patterns and making predictions based on these patterns is a crucial math skill that this exercise reinforces.Developing Logical Thinking SkillsMarking values on the number line involves logical thinking. Students must understand the relationship between numbers and their relative distances on a number line. This practice can extend beyond math lessons into general problem-solving and analytical skills that they can use in a wide range of scenarios.Enhancing Visual LearningFinally, marking values on a number line caters to visual learners. This form of learning helps them understand numerical values in a new light, making math more flexible and enjoyable for them. The students can visualize the positions of numbers within a series, thereby fostering a deeper sense of understanding and versatility in the world of numbers.
1nbt3

×
Description:
"This worksheet is designed to enhance children's understanding of comparative mathematics through the 'Making a True Expression' exercise. It comprises 20 problems that encourage critical thinking by solving expressions with ascending and descending numbers. The worksheet offers versatility as it can be customized, transformed into flash cards, or utilized for distance learning, catering to diverse learning styles and environments."

×
Student Goals:
Understanding Mathematical SymbolsUpon the successful completion of the worksheet, students should have a comprehensive understanding of mathematical symbols such as greater than and less than. They should be able to successfully determine and indicate when one number is larger or smaller than the other using these symbols. Additionally, their familiarity with these symbols will have significantly improved allowing for swifter recognition and application in future mathematical exercises.Accuracy in Problem SolvingThe worksheet will enhance students' accuracy in problem solving. With a total of 20 problems to be solved, the students should be better equipped at making fewer mistakes in solving numerical problems. An emphasis on accuracy will encourage them to pay attention to minute details and avoid careless errors- a skill that will be beneficial in more advanced mathematical problems.Boosting Logical Reasoning SkillsThe students' logical reasoning skills will be boosted after completing the worksheet. The worksheet requires them to demonstrate logical thinking, decide on the appropriate symbol, and form a true expression. This enhancement in reasoning skills is not only applicable to mathematics but to other learning areas and everyday situations as well.Improving Speed and EfficiencyCompletion of the worksheet aids in improving the students' speed and efficiency in mathematical operations. The more practices they have with such problems, the quicker they will become at recognizing patterns and making accurate decisions. This leads to a general improvement in their speed and efficiency in mathematical tasks, a skill that is incredibly beneficial as they progress to more complex mathematical challenges.Increasing Confidence in MathematicsNot to mention, completing the worksheet aids in increasing student confidence in their mathematical abilities. With each correctly solved problem, the students are likely to gain confidence in their understanding and application of mathematical concepts. This confidence can lead to increased interest and commitment to the subject, setting a strong foundation for their educational journey ahead.
1oa7

×
Description:
"This worksheet is designed to teach children the principles of math, focusing on the understanding of the equals sign. The 18 engaging problems will challenge students to grasp equivalent equations. Ideal for distance learning and adaptable to flashcards, this versatile worksheet can be tailored to individual learners. Enhance your child's math skills with these stimulating exercises."

×
Student Goals:
Understanding the Equals SignUpon completion of the worksheet, students will have a comprehensive understanding of the equals sign and how it is used in basic mathematics. They will be aware that the equals sign symbolizes equivalence or equality, meaning what is on the left side of the equals sign will always be the same as what is on the right side.Developing Problem-Solving SkillsStudents will improve their problem-solving skills by determining mathematical correctness in equations. This would involve deductive reasoning skills to identify the right values on either side of the equals sign. As problem-solving is fundamental in all areas of life, this skill is a valuable learning outcome.Arithmetic ProficiencyThe worksheet will also help students in gaining proficiency in basic arithmetic including addition and subtraction. Students will be able to accurately perform these operations and understand their relationship with the equals sign.Mental Math SkillsCompletion of the worksheet will enhance students' mental math skills. They will be able to perform basic addition and subtraction calculations mentally, promoting quicker mathematical thinking, which is not only useful for their educational pursuits but also for daily life scenarios.Preparation for Advanced MathematicsOnce students have achieved a solid understanding of the equals sign and its application in basic arithmetic, they are preparing themselves for more advanced mathematical concepts. This foundational knowledge will serve as a building block for future mathematical explorations, setting the stage for more complex challenges.Boost Confidence in MathematicsWhen students successfully complete the worksheet, they will gain more confidence in their abilities to perform mathematics. This increase in confidence can lead to improved performance in the subject, as well as a greater willingness to take on more complex math problems in the future.
6ee2a

×
Description:
"This worksheet is designed to help children master writing mathematical expressions. Covering 20 problem sets ranging from addition, subtraction, multiplication, to division, it makes learning engaging and interactive with its flexible format. This math worksheet can be customized for unique learning needs, converted into flash cards for better retention, or be utilized in distance learning to enhance remote education capability. Suited for practicing and reinforcing mathematical concepts."

×
Student Goals:
5oa2

×
Description:
"This worksheet is designed to improve children's abilities in rewriting equations in math. It features 20 problems, covering fundamental concepts such as subtraction, division, multiplication, and addition with variables. The content can be easily customized to suit individual learning needs, converted into flash cards for interactive self-study, or incorporated into distance learning programs."

×
Student Goals:
Basic Arithmetic UnderstandingUpon completion of this worksheet, students are expected to exhibit a clearer comprehension of basic arithmetic operations like addition, subtraction, multiplication, and division. They should demonstrate the ability to manipulate equations involving these operations and solve for unknown variables.Math VocabularyThis worksheet is designed to enhance students' familiarity with crucial math vocabulary, such as 'product', 'sum', 'minus', 'divided by', and equal signs. A better understanding of these terms will enable them to translate verbal equations into algebraic expressions seamlessly.Problem-solving SkillsSolving these problems necessitates logical thinking and strategic problem-solving abilities. Therefore, pupils should become more efficient at identifying what is being asked in a problem and mapping out the steps they need to take to arrive at a solution.Mental MathBy working on these problems, students will polish their mental math skills. They will become more capable of executing mathematical operations in their heads without relying on calculators. This ability is crucial for improving speed during tests and enhancing overall math agility.Algebraic UnderstandingBy the end of this worksheet, students should possess a deeper conceptual knowledge of algebra. They should be able to represent real-world situations using algebraic expressions, and effectively substitute values into these expressions to solve for unknown variables.Math ConfidenceThe repetitive nature of these problems will help to build math confidence in students. Consistent practice and successful problem-solving experiences will contribute to a positive outlook towards mathematics and reduce math anxiety, further enhancing their willingness to learn more complex topics in the future.Preparation for Advanced TopicsThe skills acquired from this worksheet serve as a stepping stone towards more complicated math topics. Students will find it easier to grasp advanced topics such as complex equations, calculus, and more if they have a solid understanding of the basic rules of arithmetic.

×
Description:
"This worksheet is designed to help children master the concept of true and false equations within the 20 range. The worksheet presents 20 problems in varying difficulty levels, teaching kids to identify inaccuracies in mathematic statements. The content can be customized for specific learning needs and adapted into flashcards for interactive engagement. It's also suitable for distance learning, extending math education beyond traditional classroom boundaries."

×
Student Goals:
1nbt2c

×
Description:
"This worksheet is designed to reinforce children's understanding of math, specifically focusing on the concept of 'place values.' Offering a set of 12 problems, learners can explore key numeracy principles through engaging, tactile tasks. Its versatility caters to varying educational needs, enabling customization for individual learning rates, conversion into flashcards for compact review, or incorporation into distance learning frameworks. Perfect for cultivating mathematical fluency in a compelling way."

×
Student Goals:
Understanding of Place Value SystemUpon successful completion of this worksheet, students should have developed an in-depth understanding of the place value system. They will be adept at recognizing the significance of each digit in a number based on its position or 'place'. This fundamental concept will enable them to break down numbers into thousands, hundreds, tens, and ones, which is an essential skill in mathematics.Ability to use Place Value BlocksThrough the exercises provided in the worksheet, students will acquire the competence to effectively use place value blocks. As a hands-on learning tool, these blocks are instrumental in visualizing and comprehending the abstract concept of place value. Mastering its usage will further develop their ability to represent and manipulate numbers in a more concrete and tangible form.Enhanced Problem-Solving SkillsThis worksheet intends to cultivate robust problem-solving skills among students. Tackling the provided problems will encourage students to employ critical thinking and strategizing to form an accurate numerical representation using place value blocks. This invaluable skill will not only be pivotal in dealing with more complex mathematical problems, but it will also aid them in other academic areas and real-life tasks.Development of Mathematical LanguageThrough continuous engagement with this worksheet, students will familiarize themselves with key terms related to place value blocks such as 'units', 'rods', 'flats', 'cubes' etc. This will help develop their mathematical language and vocabulary, an asset that will enable them to better articulate their thoughts and solutions, and engage in discussions related to the subject matter.Confidence in Handling Larger NumbersBy repetitively working on problems involving larger numbers in this worksheet, students will grow confident and comfortable dealing with them. Subtracting fear and intimidation of big numbers will pave the way for successful handling of higher-level mathematical operations including multiplication and division of larger numbers, fraction decimal conversions, and more.Preparation for Advance Mathematical ConceptsLastly, having a strong base in place values and how to interpret them will set an excellent foundation for more advanced mathematical concepts. Whether it's fractions, decimals, percentages or even algebra, understanding place value plays a crucial role. Therefore, mastering this worksheet will act as a stepping stone for a student's future mathematical journey.
2nbt1a

×
Description:
"This worksheet is designed to reinforce children’s understanding of numbers and quantities in hundreds, tens, and ones format. Featuring eight engaging math problems, the worksheet challenges learners to identify the value of hundreds, tens, and ones in numbers like 300, 500, and 700. Adaptable for various learning styles, its format can be customized, used as flash cards, or incorporated into distance learning curriculums, offering a versatile tool to strengthen foundational math skills in an engaging way."

×
Student Goals:
Master Basic Math ConceptsStudents should be able to have a firm grasp of basic math concepts, particularly the value of numbers and the quantity they represent. They should understand the number system, identify and differentiate between hundreds, tens, and ones. This foundational knowledge will aid them in tackling more complex math equations in the future.Enhance Critical Thinking and Problem-solving SkillsUpon completion of the worksheet, students should be able to apply learned concepts to solve problems. By determining the quantity that each block set of hundreds, tens, and ones represents, they enhance their critical thinking and problem-solving skills, which are invaluable in everyday life and across academic disciplines.Grow Counting and Calculation SkillsAfter completing the worksheet, students should show significant improvement in their counting and calculation skills. They get to practice counting by hundreds up to a thousand, reinforcing their ability to count and calculate quickly and accurately.Develop Understanding of Place ValuesThe teaching of hundreds, tens, and ones forms the core of the place value system, which is a fundamental concept in arithmetic and number theory. Students should be able to recognize and understand how place values work and apply this knowledge when reading and composing numbers.Boost Cognitive Ability and FocusThe worksheet targets the enhancement of children's cognitive abilities and their focus. By following the set of problems and solving them, students train their brain to focus, maintain attention, and carry out critical cognitive functions.Build Confidence in MathSuccessfully completing the worksheet should instill confidence in students, allowing them to approach Math's future tasks and challenges with less fear and hesitation. This confidence can enhance their overall academic performance and attitude towards learning.
2nbt1a

×
Description:
"This worksheet is designed for children to enhance their math skills by creating groups of 100. Comprising of 9 unique problems, it simplifies numerical concepts into engaging tasks. Featuring customization, it can be transformed into flash cards, serving as an effective tool for distance learning. With its flexibility and interactivity, this resource promotes fun while learning mathematics."

×
Student Goals:
ComprehensionBy completing this worksheet, students should have developed an understanding of how to create groups of 100. This fundamental mathematical concept enables them to subdivide large numbers into easily manageable groups, greatly improving their numeric comprehension skills. They would also have developed mental math strategies for dealing with numbers, making it easier for them to perform quick calculations in their heads.Critical ThinkingStudents should showcase an enhanced ability to solve problems. They would be able to strategize, deduce, and sift through various possibilities to determine the correct groupings of numbers. This critical thinking capability is not exclusive to math alone. Properly cultivating it can transfer seamlessly into other subjects or areas where problem-solving abilities are needed. This worksheet helps in tackling complex problems by breaking them down into smaller, manageable parts.Number FluencyThe completion of this worksheet should correlate to increased numerical fluency. That is, they would demonstrate a strong familiarity with numbers, and their proficiency in manipulating them should be evident. Participating in exercises, where they need to create groups of 100, would have effectively reinforced the concept of the base-10 number system, thereby ameliorating their numerical agility.Confidence and EncouragementBy completing these tasks, students would have taken steps towards improved confidence in their mathematical abilities. The sense of accomplishment found in successfully creating groups of 100 would serve as a motivational boost, encouraging them to engage further with mathematical problem-solving activities. This can be crucial in setting a robust foundation for more complex mathematical theories and numerical applications in the future.Integration of KnowledgeBeyond gaining familiarity with numbers, students would learn how to integrate different parts of knowledge in a cohesive manner. They would understand number operations, connections among numbers, and how they can break down and group numbers in varied ways for different purposes, thus showing evidence of considerable cognitive growth in number sense. This worksheet stands as a stepping stone in the journey to develop sophisticated numerical capabilities that are the backbone of higher-level mathematic comprehension.
2nbt1b

×
Description:
"This worksheet is designed to boost children's mathematical skills by identifying groups of 100. Comprising seven problems, each with two questions, students are asked to define the number of groups that make up 100 and determine the total number of small blocks. Highly versatile, this tool can be tailored to individual learning needs, transformed into engaging flashcards, or incorporated into distance learning platforms to create a flexible, interactive, and stimulating learning environment."

×
Student Goals:
Understanding Quantity GroupingsAfter completing this worksheet, students should be able to understand the concept of quantity groupings, specifically centered around the number 100. They will learn to conceptualize what it means for quantities to be grouped into hundreds, enabling them to more readily grapple with larger numbers.Counting and Calculation SkillsCompleting the worksheet should improve students' ability to count and perform basic mathematical operations. The consistent repetition will enable them to become more adept at quickly identifying groups of 100, improving their mental arithmetic skills.Developing Problem Solving AbilitiesStudents will learn how to approach and solve problems. By working through a variety of tasks, students will gain the ability to take information, process it, and determine a solution based on that information. This facilitates the development of logical thinking and analytical skills.Grasping Mathematical ConceptsUpon completing the worksheet, students will have a better grasp on larger mathematical concepts. This includes understanding the relationships between numbers, the importance of grouping in mathematics, and how these concepts relate to each other within the subject of mathematics. This understanding will prove invaluable as students progress to more complex topics.Increasing Numeracy ConfidenceAs students work through the problems and become more comfortable with the concept of grouping into hundreds, they will increase their confidence in their numeracy abilities. This self-assurance is not only important for their ongoing mathematical education but also contributes to their general academic self-efficacy.Understanding Number RelationshipsBy focusing on identifying groups of 100, students will gain a deeper understanding of the relationships between numbers. They will improve their comprehension of how quantities and numbers can be broken down and grouped, building a robust foundation for future mathematical endeavors.Practicing Application of KnowledgeLastly, accomplishing this worksheet allows students to practice applying their new knowledge. From recognizing groups of 100 to calculating the total number of smaller blocks, students will see how the principles they are learning can be directly applied in mathematical problems, reinforcing the practicality of the skills they are being taught.

×
Description:
"This worksheet is designed to enhance math skills through value determination with blocks. Customizable for individual learning needs, it features ten engaging problems that illustrate key mathematical concepts. Ideal for use in distance education, this versatile tool can also be transformed into interactive flash cards, reinforcing learning in a fun, hands-on manner."

×
Student Goals:
Understanding of ValueUpon completion of this worksheet, students should have a comprehensive understanding of value. They should be able to identify and count using blocks, a visual method that is instrumental in helping young learners grasp the concept of individual units and their summation to create larger values.Development of Mathematical SkillsStudents should have significantly improved their mathematical abilities. These include basic arithmetic operations such as addition and subtraction, as well as the development of skills in identifying one-to-one correspondence, comparing quantities, and recognizing patterns.Problem Solving SkillsThe worksheet is designed to balance between simplicity and complexity, presenting students with problems that challenge their thinking. On completion, a significant improvement in learners' ability to analyze and solve mathematical problems is expected. They would have honed their patience, logical reasoning, and analytical skills.Learning IndependenceThrough this worksheet, children should become more independent in tackling mathematical problems. They should be more confident in using different strategies to find solutions. This learning independence should extend beyond mathematics to other subjects and spheres of study.Application of Practical SkillsThe use of blocks in understanding mathematical concepts is a practical approach. After completing the worksheet, learners ought to be ready to apply these practical skills not only within the context of higher mathematical problems but also in real-life situations that require logical reasoning.Improvement in Attention and FocusWith the specific tasks outlined in the worksheet, there should be a notable improvement in the students' ability to pay attention to details and maintain focus for longer periods. This would subsequently boost their overall performance in other areas of learning requiring attention and concentration.Boosted Confidence and Self-EsteemA primary goal of the worksheet is to instill a sense of accomplishment in students. After successfully completing the tasks, learners should have an improved self-concept. They would not only feel good about their abilities, but also be more willing to take on new and more challenging tasks in the future.Reinforcement of Classroom LearningThe worksheet complements the curriculum covered in the classroom setting. Upon completion, students should ideally have reinforced and consolidated the math concepts taught in class. This strengthens their knowledge base and improves their proficiency in the subject.

×
Description:
"This worksheet is designed to help children grasp the concept of place value up to 1,000, through eight comprehensive math problems. Perfectly customizable, it can be effortlessly transformed into flashcards for eased understanding. The worksheet also supports distance learning, paving the way for independent study and reinforcement of math skills."

×
Student Goals:
Understanding of Place Value ConceptAfter completing the worksheet, students should have a solid understanding of the concept of place value up to 1,000. They should be able to effectively apply their knowledge in distinguishing between units, tens, hundreds, and thousands in number presentation. This understanding forms a foundation upon which more complex math operations can be built.Problem-solving SkillsThe completion of the worksheet also aims at honing the problem-solving skills of students. The given problems will expose them to various scenarios where they have to utilize their understanding of the place value concept to solve the problems. Focusing on this fundamental aspect of math develops a robust process for logical and algorithmic thinking.Application of Mathematical TheoryThe task of completing this worksheet ensures that students not only understand the theoretical concept behind the place value up to 1,000 but could also apply this understanding in various math problems. The infusion of theory into practicality is one of the major skills students are expected to achieve after completing the worksheet.Increased Proficiency in MathematicsBy accomplishing this worksheet, students are expected to advance their proficiency in the core concepts of mathematics. Focusing on a fundamental concept like place value within 1,000, students should be able to feel more comfortable and confident when dealing with larger numbers and more complicated mathematical calculations.Ability to Work IndependentlyAddressing and completing the problems in this worksheet, students will demonstrate their ability to comprehend mathematical concepts, solve problems, and achieve solutions independently. This will further instill self-confidence, encouraging independent learning and shedding any possible fears or inhibitions associated with mathematics as a subject.

×
Description:
"This worksheet is designed to help children understand the concept of place value in a fun and engaging way. With six math problems, each problem uniquely prompts students to identify digits in different places such as hundreds, thousands, tens, and ones. This customizable worksheet can easily be converted into flashcards and is suitable to be utilized in distance learning environments."

×
Student Goals:
Understanding Place ValuesStudents will demonstrate a clear understanding of the place value concept in mathematics, which forms a key foundation in number sense, mixing arithmetic, and performing simple to complex mathematical operations. They will be able to identify the position of digits in a number and know each digit's value, namely ones, tens, hundreds, thousands, and so on, which is crucial in comprehending the numerical system we employ every day.Application of KnowledgePost-completion of the worksheet, students should be able to correctly apply their knowledge of place values into practical scenarios. They will be capable of analyzing digits in any given numeric value, regardless of its length, and correctly identify the position and corresponding value of each digit. This skill becomes a prerequisite for more advanced mathematical problems.Problem-Solving SkillsSolving the problems in the worksheet will require students to analyze and apply their understanding, helping to improve their problem-solving skills. They will be able to follow a methodical approach to identifying the position values of digits in larger numbers. This will contribute towards developing their analytical thinking and strategic problem-solving skills.Building Computational SkillsStudents will be able to better perform arithmetic computations with a solid grasp of place values. Both estimation and exact computation become more accurate and efficient with a solid understanding of place value. This transfers into other mathematical operations, such as addition, subtraction, multiplication, and division.Boosting ConfidenceSuccessfully completing the worksheet and understanding the place value concept can provide a significant confidence boost to students' overall mathematical abilities. As they gain mastery in this foundational mathematical concept, they will be better prepared and more confident in tackling more complex mathematical problems and will be able to perform better in exams.
1md4

×
Description:
"This worksheet is designed to help children grasp basic math concepts by practicing comparisons- identifying more and less. Containing six interactive problems, kids get engaged in hands-on learning and problem-solving experiences. Completely customizable, it can be tailored to various learning styles, converted into flashcards, and applicable for distance learning. This serves as an effective tool for reinforcing these fundamental math skills."

×
Student Goals:
Understanding of More and Less ConceptsUpon completion of this worksheet, students should have a solid understanding of the concepts of 'more' and 'less.' They will be able to distinguish between quantities and correctly identify which of two sets of items has more or less. This basic knowledge is critical in establishing a foundation for later math skills such as addition, subtraction, and comparison of numbers.Problem-Solving SkillsBy working through the problems on this worksheet, students will enhance their problem-solving skills. They'll need to analyze each problem independently and apply their knowledge of 'more' and 'less' to find the correct answer. Problem-solving is a critical life skill and being able to approach a problem, propose a solution, and evaluate its effectiveness is key in many aspects of life beyond math.Fundamental Math LiteracyThis worksheet encourages students to develop basic math literacy. The ability to identify, compare, and contrast quantities is a foundational mathematical skill. Though seemingly simple, these are vital skills that will be built upon in future math lessons, making it crucial for students to thoroughly understand them.Greater Attention to DetailAs the students work through each problem, they'll be required to pay close attention to the details of each set of items. In doing so, they nurture their attention to detail - an indispensable skill not only useful in learning but also in life. It is important in forming habits of critical observation, integral in tasks that involve comparing and contrasting objects or entities.Confidence in MathCompleting the worksheet successfully will also instill confidence in the students. With each correctly answered problem, they strengthen their grasp on the concept, resulting in enhanced self-assurance in their math ability. This self-confidence is a motivating factor that encourages the further pursuit of math learning.Ability to Apply Knowledge in Real-Life ScenariosFinally, upon completing the worksheet, students should be able to apply their understanding of 'more' and 'less' to real-life situations. This could be estimating whether they have more or less of a specific item at home, in school, or determining groups with more or fewer objects. Such practical application of knowledge reinforces classroom learnings and links them with tangible, everyday experiences.
1nbt3

×
Description:
"This worksheet is designed to enhance children's understanding of math, focusing on comparing two-digit numbers. With 20 problems provided, it fosters critical thinking skills by requiring learners to determine number values. The interactive nature of the exercises ensures this worksheet can be customized to suit individual learning styles, converted into flashcards for additional practice, or incorporated into distance learning curriculum, catering to all learning environments."

×
Student Goals:
Understanding Numerical ValuesBy completing this worksheet, students should have developed a solid understanding of numerical values, specifically two-digit numbers. They would have practiced problem sets that enhance their familiarity with numerals and their respective positions within the number line. This fundamental comprehension of numerical values is key, as it forms the basis for operations with larger digit numbers.Developing Comparing SkillsThe tasks in the worksheet help students grasp the concept of comparing numbers. This works on developing their skills to analyze two-digit numbers and determine which is larger. This skill is vital in many mathematical operations such as sorting and ordering numbers, and forms part of the foundation of a student's mathematical literacy that they will continue to use throughout their education.Improving Mathematical VocabularyWorking on this worksheet ensures that students have familiarized themselves with the language involved in comparing numbers. The vocabulary that includes words such as greater than or less than, are learnt along the way. This runs parallel with their developing comprehension and ability to articulate mathematical concepts.Boosting Cognitive SkillsIn addition to numerical comparison, a worksheet of this kind helps in honing their problem-solving skills. It stimulates their mental agility by encouraging them to use logical reasoning. This further fosters their cognitive capabilities such as attention to detail and critical thinking skills.Enhancement in Confidence and IndependenceBy overcoming the challenges in this worksheet, students will likely experience a boost in their confidence. They start trusting their mathematical abilities and this self-assurance can motivate them to tackle more complex problems. Also, working independently contributes to reinforcing their ability in making decisions, thereby fostering autonomy in learning.Building the Basis for Advanced Mathematical ConceptsThe basic skills in comparing two-digit numbers lay important groundwork for learning more advanced mathematical concepts. Students having a good handle on these basics are more equipped when it comes to progressing onto bigger digits, different operational concepts, and more complex numerical tasks, making further mathematical learning smoother and more efficient.
2oa3

×
Description:
"This worksheet is designed to strengthen a child's understanding of even and odd numbers. The math-focused sheet provides ten visual problems that encourage critical thought. This resource is flexible, with options to customize content or convert to flashcards, and it can fit seamlessly into a distance learning curriculum. It's a valuable tool for fostering young learners' numerical skills."

×
Student Goals:
Understanding of Odd and Even NumbersUpon completion of this worksheet, students will have a better understanding of odd and even numbers. They will be able to identify and differentiate between these two types of numbers through visual aids. This critical math concept will form a solid foundation for more advanced mathematics concepts they will encounter in higher grades.Development of Analytical SkillsBy solving the problems in the worksheet, students will develop their analytical skills. They will be challenged to think logically and analytically in order to determine whether a number is odd or even. This worksheet will aid in honing their problem-solving abilities, a skill that is not only important in mathematics but in life.Memory and Recall EnhancementThe repeated exposure to math problems will help students in enhancing their memory and recall. Being able to quickly and accurately determine whether a number is odd or even requires recall of learned concepts, a skill that will also transfer to other areas of study and life.Boost in ConfidenceAfter completing this worksheet, students will experience a boost in confidence. With every correct answer, their confidence in their mathematical abilities will grow. This confidence will encourage them to take on more challenging problems and can lead to improved performance in all areas of math.Improved Attention to DetailWorking on mathematical problems requires a keen eye for details. Therefore, by completing this worksheet, students will improve their attention to detail. This skill will not only help them in more complex mathematical problems but also in other subjects where precision is required.Sense of AccomplishmentFinally, upon finishing all ten problems, students will feel a sense of accomplishment. This feeling of having learned and understood something new will motivate them to further their math studies and take on more complex problems. It can help them develop a positive attitude towards learning and academic achievement in general.
2oa3

×
Description:
"This worksheet is designed to enhance children's understanding of even numbers and basic addition. The 'Creating Even Equations' math worksheet features 10 problems, introducing the concept through simple equalities. The ease of customization allows it to be transformed into flashcards or assimilated into a distance learning program, promoting flexible and adaptive educational strategies."

×
Student Goals:
Understanding of Basic Mathematics PrinciplesUpon completion of this worksheet, students should have gained a deeper understanding of basic mathematics principles. This includes an improved comprehension of equality and balance within equations, as well as a furthered grasp on numerical relationships. Understanding these core concepts forms the foundation for more complex mathematical learning in the future.Development of Logical ThinkingSolving these equations tasks students with using logical thinking and reasoning skills. Through this, they should enhance their ability to evaluate and solve problems systematically, applying logical thought processes to reach the correct solutions. This development of critical thinking is useful not only within a mathematical context but can also be applied to problem solving in numerous other situations and subjects.Manipulation of NumbersAfter working through this worksheet, students should demonstrate progress in their ability to manipulate numbers effectively. They will have practiced breaking down numbers into equal parts, which can help them in understanding fractions, division, and even decimal numbers later in their mathematical education.Understanding the Concept of EqualityThe concept of equality is a fundamental aspect of mathematics, which this worksheet reinforces. After completing the exercises, students would have practiced maintaining balance in equations and will be more confident in equalizing mathematical equations in the future.Enhancement of Numerical MemorizationAs students complete this worksheet, they are also engaging in numerical memorization. By repeatedly solving equations with similar number structures, they are reinforcing their memory of number patterns and sequences. This ability to quickly recall number facts is an essential skill that will greatly benefit students in speed and accuracy of solving mathematical problems.Appreciation for MathematicsEngaging with worksheets like this one can help foster an appreciation for mathematics in students. By working out problems and finding solutions, they can gain a sense of achievement and satisfaction. This can help create a positive attitude to mathematics, facilitating their progress and enthusiasm in this subject area.
2nbt4

×
Description:
"This worksheet is designed to enhance children's understanding of comparing three digit numbers in math. Consisting of 20 questions, it offers practice in identifying which number is greater. With options for customization, it can be easily converted into flash cards or incorporated into a distance learning curriculum. A perfect tool for improving numerical comprehension."

×
Student Goals:
Develop Number Comparison SkillsAfter completing this worksheet, students should have a solid understanding of how to compare three-digit numbers. They should be able to look at two or three-digit numbers and accurately determine which is greater or less. This is one of the basic skills in number sense and understanding the value of numbers.Enhance Mathematical ReasoningSolving these problems should aid students in enhancing their mathematical, deductive reasoning abilities. They should be able to reason out why one number is larger, equal or smaller than the other. From understanding the value of each digit in a place to how their order influences the overall number value, students are exposed to essential mathematical reasoning principles.Improve Problem Solving SpeedThough number comparison might seem simple, individual problem-solving speed matters just as much. By successfully completing this worksheet, students should see a significant improvement in their speed when tasked with comparing three-digit numbers in the future. This speed and accuracy become increasingly crucial as they advance in their math studies.Promote Mastery of Place Value ConceptThe process of comparing three-digit numbers is intimately tied with a solid understanding of place value. After working on this worksheet, students should have enhanced their understanding of how the position of a digit within a number affects its value, and ultimately, the value of the whole number.Encourage Development of Analytical SkillsThe worksheet's complexity level encourages students to develop and employ analytical skills, leading them beyond basic memorization and towards conceptual understanding. Completing this task will aid them in successfully breaking down and interpreting numerical data, an essential component of higher mathematics and everyday numerical problem solving.Build a Solid Foundation for Advanced MathIn completing this worksheet, students not only learn to compare numbers, but also build a fundamental foundation for more complex mathematical concepts, like addition and subtraction of large numbers, and even algebra and beyond. By mastering these comparation skills, they pave the way for smoother computational and mathematical experiences in the future.
2nbt1a

×
Description:
"This worksheet is designed to enhance children's understanding of the mathematical principles of place value. It includes 12 creative problems where students construct numbers based on given hundreds, tens, and ones. It's versatile, enabling customization for specific learning needs, conversion to flash cards, and adaptability for distance learning. An indispensable resource for effectively teaching and learning math concepts in a varied and engaging manner."

×
Student Goals:
Understanding of Place ValuesUpon completion of this worksheet, students should have a robust understanding of place values in mathematics. They will comprehensively comprehend the concepts of ones, tens, and hundreds and how these individual units contribute towards forming a complete number.Handwriting and Formation of NumbersWorking on this worksheet will also enable students to improve their handwriting skills. Since the tasks involve writing numbers based on given number units, children will get ample practice in forming each digit from 0 to 9. This repeated practice will ensure they master the art of writing numbers clearly and legibly.Problem-solving AbilityThis activity will enhance children's problem-solving ability. It will teach them to approach written problems systematically and find solutions by utilising their understanding of place values. This not only fosters a key skill in mathematics but also cultivates an analytical mindset, beneficial across diverse subjects.Cognitive SkillsThe successful completion of this worksheet contributes directly to the development of multiple cognitive skills. Children need to read, comprehend the problem, and translate the words into numerical form – an activity that requires cognitive flexibility, working memory, and sustained attention.Fundamental Math SkillLearning place values is a building block for complex mathematical operations. By performing these problems, children will lay a strong foundation for future topics in mathematics, such as arithmetic operations (addition, subtraction, multiplication, and division), fractions, decimals, and even percentages.Confidence BoostThe successful completion of problems in this worksheet will boost children's confidence in their mathematical abilities. As they conquer each problem and see their correct solutions, they'll gain a sense of accomplishment and confidence that will contribute towards fostering a positive attitude to mathematics.Independent WorkingCompleting this worksheet also promotes working independently. Students are pushed to understand, interpret, and solve problems without any direct interference. This develops a sense of responsibility, independence, and self-confidence in their academic skills, which is crucial for their long-term academic success.
4nbt2

×
Description:
"This worksheet is designed to enhance children's understanding of number comparison up to 1 million. With 20 math problems involving greater, less than, or equal concepts, it encourages numerical literacy. The worksheet is customizable, adaptable to flashcards, and suitable for distance learning, ensuring a versatile tool for nurturing mathematical skills."

×
Student Goals:
Understand the Concept of Comparing NumbersAfter completing the worksheet, students should have a firm grasp on the concept of comparing numbers. They should understand the use and significance of the comparison symbols '>', '<', and '='. Students will be able to identify which number is greater than, less than, or equal to another, thereby developing practical math skills essential for tackling complex problems.Develop number senseThis worksheet will introduce students to numbers within 1 million, thereby building strong number sense. They will be comfortable dealing with large numbers, understand their structure, and the order of their magnitude. The student's ability to visualize different numbers and their values compared to each other will be significantly strengthened.Enhance Problem-Solving SkillsWorking through 20 problems in such a detailed way also encourages the development of problem-solving skills. Students will learn the process of deducing the relation between two numbers based on their values. This act of identifying relevant information, setting up strategy, and solving, fosters critical thinking and logic.Growth in Mathematical ConfidenceAs their understanding grows, students will likely improve their confidence in dealing with large numbers. This self-assuredness can in turn increase participatory behavior in class discussions and provide an overall boost to their performance.Accuracy and Speed in MathematicsPractice makes perfect. By completing this worksheet, students will get plenty of practice comparing large numbers. This frequent practice will help them complete comparisons quickly and accurately, fostering efficiency in math classrooms and exams.Application of Skills to Real-life SituationsAfter mastering the skill of comparing numbers, students will be able to apply this knowledge to real-world situations. Whether comparing prices, distances, measurements or statistics, they'll be able to discern the larger, smaller, or equivalent values effectively.
4nbt1

×
Description:
"This worksheet is designed to reinforce key math concepts, focusing on the utilization of place value to solve numerical problems. It features 20 unique problems, featuring multiplication and division exercises that are easy to comprehend. Ideal for distance learning, this versatile resource can be customized to suit individual learner needs and can be conveniently converted into flash cards for interactive, dynamic, and fun education."

×
Student Goals:
Understanding of Place Value ConceptsUpon completion of this worksheet, students should gain a strong understanding of place value concepts. They should be able to identify the value of different digits in a number based on their positions and comprehend how this influences the overall value of the number. This skill is essential in both basic and advanced mathematical calculations.Mastery in Basic Mathematical OperationsThe worksheet provides a thorough practice in basic mathematical operations such as multiplication and division, which are foundational skills in the study of mathematics. After working through the problems, students should feel confident performing these operations smoothly and accurately, thus reinforcing their number sense.Ability to Solve Real-World ProblemsBy learning to manipulate place values and perform basic mathematical operations, students are well equipped to solve real-world problems. This understanding translates into abilities beyond the math class, enabling students to draw on their skills in a real-world context. They should be able to use them in situations that require mathematical calculation such as measurement, money, and problem-solving tasks.Development of Critical Thinking and Problem-Solving SkillsThrough working on the different problems in the worksheet, students are challenged to think critically about how to approach a problem and select a suitable strategy for solving it. They should be able to apply logical reasoning and critical thinking skills when faced with new problem situations.Improvement in Speed and AccuracyAfter completing the worksheet, students should demonstrate an improvement in speed and accuracy when doing mathematical operations. This improvement comes as a result of repeated practice provided by the twenty problems in the worksheet. It highlights a student’s fluency in dealing with numbers and mathematical concepts at this educational level.

×
Description:
"This worksheet is designed to enhance children's understanding of integers in mathematics. It features 20 problems which help students identify and differentiate between positive and negative numbers. The user-friendly format can be customized as per individual learning needs, transmuted into flash cards, and is highly suitable for distance learning."

×
Student Goals:
Understanding IntegersUpon successful completion of this math worksheet, students are expected to gain a solid understanding of integers. They will be able to distinguish positive numbers, negative numbers, and zero. The comprehension of what integers are lays the groundwork for future lessons in algebra and other higher-level math subjects.Identification SkillsThe worksheet is designed not only to introduce integers but to equip students with the skill of identifying integers in different contexts, whether standalone or in mathematical operations. This ability to recognize and classify integers will crucially influence the student's capacity to handle more complex numerical problems in the future.Number Line FamiliarityAnother notable outcome of the worksheet is familiarizing students with the number line. This resource is universally used to represent integers graphically, helping students to grasp the concept of positive, negative, and zero effectively.Establishing Mathematical FoundationThe skill of identifying integers may seem simple, but it serves as a bedrock for many other essential mathematical skills. Once students can accurately identify integers, they're better prepared to delve into operations involving integers, like addition, subtraction, multiplication, and division. They could also move on to fractions, decimals, and problem-solving involving these concepts.Boosting ConfidenceAccomplishing this worksheet gives students the confidence needed to navigate their mathematical journey. Being comfortable with integers reduces math anxiety and creates a positive attitude toward larger and more complex numbers and equations.Enhancing Problem-Solving SkillsWhile the primary focus of this worksheet is on identifying integers, students also indirectly improve their problem-solving skills. By spotting patterns and relations among numbers, the learners are enhancing their analytical thinking, which is a valuable life skill outside the mathematics classroom.

×
Description:
"This worksheet is designed to enhance children's math skills in relative sizing of two numbers. Using a set of 12 unique problems, students determine the numerical adjustments needed to equalize or reorder two given values. Customizable to meet individual needs, this engaging tool promotes deep understanding and can be transformed into flashcards or utilized in distance learning scenarios for flexible, hands-on math practice."

×
Student Goals:
Understanding of Relative SizesUpon completion of this worksheet, students will have an enhanced understanding of the relative sizes of numbers. They will hone their comparison skills and will be able to analyze numerical values based on their relative magnitudes. They will know when a number is greater, lesser, or equal to another and how much one needs to add or subtract to align it with the other.Capability of Performing Mathematical OperationsThrough these exercises, students will reinforce their knowledge of basic arithmetic operations such as addition and subtraction. They will develop a solid foundation that will enhance their fluency in executing these operations and will be able to determine how much to add or subtract from a given number to match or exceed a comparative number.Critical Thinking and Problem-Solving AbilitiesThe worksheet exercises are designed to stimulate students' critical thinking and problem-solving skills. The nature of the problems presented encourages an analytical approach to finding solutions which promotes mental agility and fosters a deeper understanding of the principles of mathematics.Mental Arithmetic ProficiencyOver time, students will become proficient in performing mathematical computations mentally, increasing their speed and efficiency. The development of these mental arithmetic skills will provide practical benefits in many areas of their academic and daily lives.Mathematical TerminologyBy completing this worksheet, students will expand their mathematical vocabulary and will be able to articulate concepts using correct terminology. Knowing the right terms will aid students in understanding more complex mathematical concepts in later stages of their education.Confidence in MathematicsBy successfully navigating and completing these math problems, students' confidence in their mathematical abilities will strengthen. This newfound confidence can lead to an increased interest in the subject and drive to tackle more complex mathematical problems in the future.

×
Description:
"This worksheet is designed to enhance children's understanding of two-digit number sentences in Math. Comprising of 19 varied problems, it encourages learners to compare and comprehend the value of numbers. The flexible activity can be customized to individual learning styles, converted into flash cards for interactive self-study or seamlessly integrated into a distance learning setup."

×
Student Goals:
Understanding Number SentencesAfter completing this worksheet, students will have a strong foundational understanding of number sentences, especially those involving two-digit numbers. They will be well-versed with the concepts of greater than, less than, and equal to, which are fundamental in the broader study of mathematics and number theory.Critical AnalysisChildren will improve their critical thinking and problem-solving skills by comparing two two-digit numbers. They'll grasp the importance of individual digits in a number and their position, and they'll be able to rank numbers correctly, understand numerical order, and detect patterns.Symbol UnderstandingStudents will become familiar with and able to correctly use the symbols for 'greater than' (>), 'less than' (<), and 'equal to' (=). These are universally used math symbols, and their early comprehension will serve to make future mathematical learning smoother.Confidence with NumbersBy examining and comparing two-digit number sentences, students will gain confidence and familiarity with these numbers. This can help reduce any apprehension or intimidation students may have towards dealing with larger numbers, setting the stage for more advanced arithmetic operations like addition, subtraction, multiplication, and division.Preparing for Advanced ConceptsMastering the basic comparisons of numbers is a step towards understanding more advanced mathematical concepts such as integers, decimals, fractions, and algebra. This worksheet sets the groundwork for these future topics and ensures students are prepared for their next steps in their mathematical journey.Applying Mathematical LogicThe ability to reason logically and systematically is a skill that students cultivate by examining number sentences. Children will learn to apply these skills not only in more complex future math problems but also in everyday life situations, thus enhancing their overall reasoning and rational thinking abilities.Quick and Effective Decision MakingAs students practice these exercises, they will become quicker and more efficient at making numerical comparisons. This will lead to improved mental agility, faster decision-making ability, and better performance in real-time mental math problems and tasks.

×
Description:
"This worksheet is designed to strengthen children's number value understanding. It contains nine engaging Math problems where children identify numbers less than and more than a given number within 0 to 100. Customizable for varying levels of difficulty, this worksheet can also be converted to flashcards or adopted for distance learning to facilitate interactive and flexible math education."

×
Student Goals:
Numerical ProficiencyUpon completion of this worksheet, students will have significantly improved their numerical proficiency. They will have had ample practice in recognizing and distinguishing between different numerical values, thus enhancing their ability to identify, compare, and contrast different numbers more accurately.Analytical SkillsThe worksheet offers a chance to enhance and apply analytical thinking in a mathematical context. It promotes pupil's ability to swiftly and accurately categorize numbers based on individual properties, specifically, their numerical value. It also indirectly encourages logical thinking which will be paramount in solving more complex problems later on.Memory RecallThe exercises challenge and improve the learners' memory recall by requiring them to remember specific numerical values and their corresponding categorizations. Through repeated exposure to such problems, the students' ability to remember and apply learned concepts will be significantly sharpened, thus promoting long-term memory of critical mathematical facts.Understanding Number HierarchyThe understanding of number hierarchy is a fundamental mathematical skill. After successfully completing the worksheet, students should be able to confidently recognize and apply the concept of number hierarchy, as they would have had extensive practice sorting numbers based on their values, from least to most and vice versa.Preparation for More Complex TasksThe worksheet paves way for tackling more complicated mathematical problems. Familiarity with numbers, their manipulation and understanding their relative magnitude, prepares students for future topics, such as fractions, decimals, and percentages. Hence, the worksheet serves as a stepping stone for more advanced mathematical operations.Introduction to Number SystemsThe worksheet introduces the basis of understanding the number systems. By learning to identify the numbers within 100, these exercises lay the groundwork for comprehending the base-10 number system, just as numbers are structured and utilized in the physical world, which is an important concept that students will encounter repeatedly in future mathematical studies.